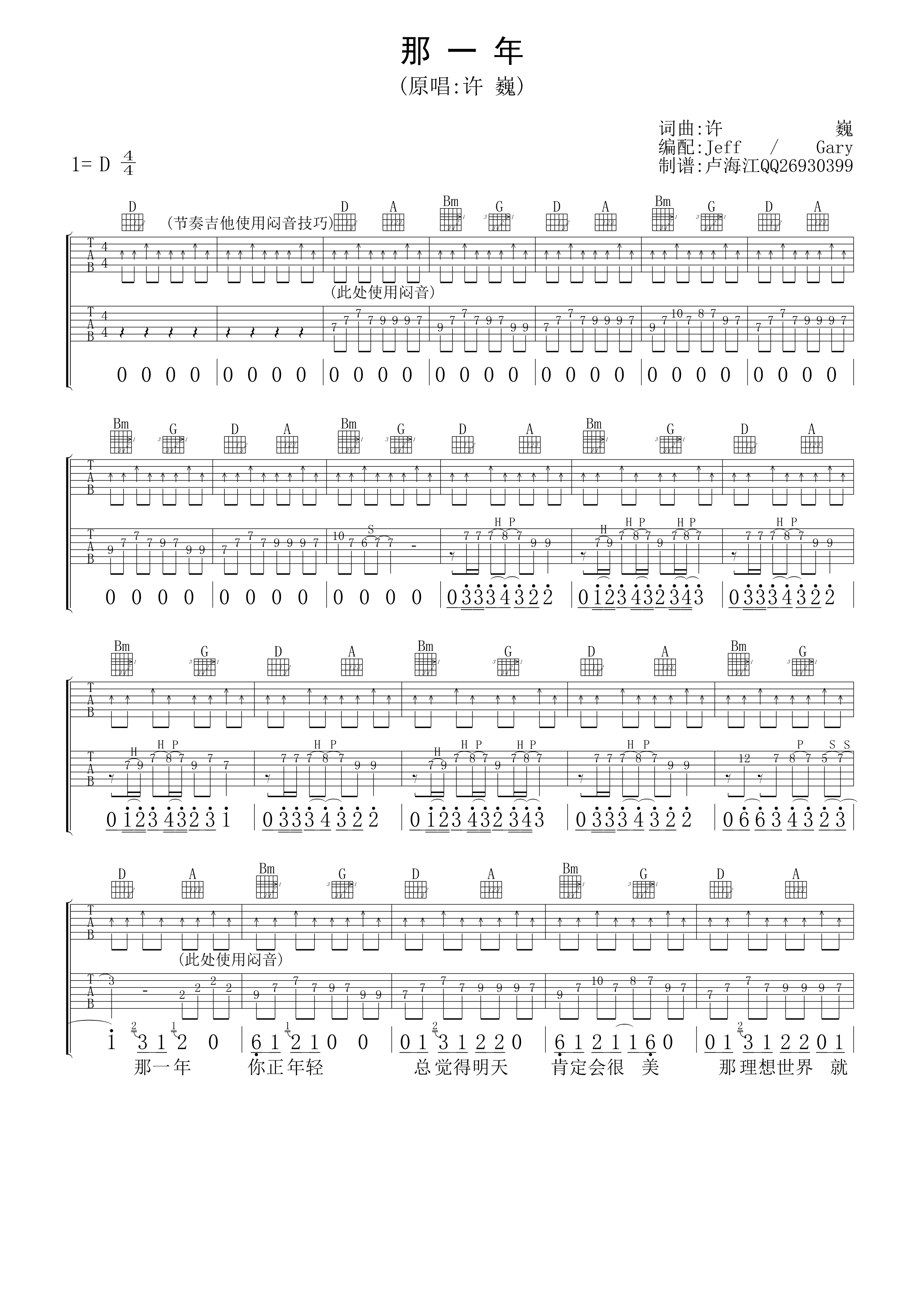
那一年吉他谱采用了D调指法,由卢海江编配完成。整首歌就是淡淡诉说的那种感觉,没有很激烈,但是其实充满了无奈,充满了无力。我听到歌词的时候,深有同感。刚毕业出来时,觉得可以做很多的事情,不甘于平庸,觉得自己独一无二的。而现在呢?不过是意识到自己其实也是大众中的一个人,所有的什么梦想理想在生存面前算什么呢?活都活不好的时候,谈理想?不是很可笑吗?可是....说是可笑,但是我很佩服这样的人。我做不到的。但是依然有人还在坚持,还在为了自己的梦想而去努力去奋斗....而我,已经被生活搞怕了...




微信扫描下方的二维码阅读本文

原创文章,作者:民谣吉他小民,如若转载,请注明出处:https://www.minyaojita.com/jitapu/1762.html